为了提升航空减速器锥齿轮传动的稳定性,该研究提出一种基于6σ稳健优化的方法以控制安装误差的影响。通过建立误差分析模型和蒙特卡洛模拟,结果表明:与传统方案相比,6σ优化将传动误差波动幅值降低30%,可靠度提升至99.995%以上,显著增强了系统抗干扰能力和运行稳定性。该方法对高精度机械传动系统具有推广价值。
为了降低锥齿轮啮合过程中安装误差,针对航空减速器用锥齿轮的传动情况,设计了一种考虑安装误差的6σ稳健优化方法,并对误差进行算例验证。研究结果表明:未优化方案呈现不稳定波动,存在故障风险;采用6σ优化方法对装配误差的鲁棒性较好,能够获得不低于99.995%的可靠度。相比于固定优化方案,6σ优化技术可将传动误差波形幅值缩小30%,可见6σ稳定设计具备更优可行性。研究的稳健性方法满足可靠性要求,可以拓宽到其他的机械传动领域。

引 言
采用减速器增大驱动装置的负载能力以及提高结构稳定度,通过在系统中设置硬齿面提高传递效率。实际中制造尺寸偏差与安装位置偏移的情况。受安装偏差影响产生锥齿轮传动误差曲线突变,将会引起齿轮副发生振动、撞击问题,从而导致整个系统无法保持稳定性,进而降低了系统运行可靠度。因此需尽量减缓安装偏差带来的影响,确保系统稳定运行,对啮合条件不断优化和提高齿轮表面质量是解决锥齿轮齿面问题的重点方向。相关齿轮接触稳定性方面的研究吸引了很多的学者,取得了一定的研究成果。王伦等基于准双曲面齿轮加工原理建立齿面加工模型,分析机床调整参数变化对齿轮接触区的影响,为提高准双曲面齿轮啮合传动性能。谢陇陇等基于齿面拓扑结构对工件偏心误差进行分析,通过实际加工齿轮精度进行验证,证明提出的补偿策略可行,提高滚齿加工效率。翁灯盐等设计具有安装误差耦合的面齿轮传动精确装配建模方法,实现面齿轮传动模型的高精度装配,偏置安装误差下承载接触特性的影响规律变得明显。
考虑安装误差的6σ稳健设计
6σ稳健设计理论:
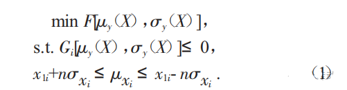
利用6σ稳健调节策略进行操作,是一种根据统计学原理进行处理的过程。进行最初方案设计时,需要先构建安装误差分析模型,并开展啮合性能评估。依据6σ技术对各类变量下进行啮合的波动性进行评估,从而确定符合啮合规则和可靠度的优化方案。运用6σ技术进行优化的步骤包括:先为特定设计节点引入随机干扰信号,之后通过本文算法获取接近均值的样本参数,以此检验该方案可行性,得到两种优化方法性能对比结果。根据以下模型函数进行稳健优化:
式中:y为输出响应;μxi与μy为设计变量;σxi与σy为输出响应方差;X为随机变量,X=[x1,…,xi,…,xn];xli与 xui依次对应xi下限与上限。
6σ稳健优化模型:
本文给出了修正的齿面中心量,再结合齿面给出了约束函数,构建以下的6σ稳健函数:
式中:m1为传动比函数;η为根锥和接触轨迹形成的夹角;δ为椭圆长半轴相对齿宽比例;d'、S'、e'分别为印迹指向、范畴和精确性单位等效量;S1、S2为均值和标准方差归一因子;W1、W2为权重因子;I0为目标值;xmax、xmin为设计变量边界;σx、μx依次对应x标准差和均值。从式(2)与式(3)中可以发现,根据6σ稳健优化改进后的目标函数位于标注点中心处已满足性能指标要求,获得了最优均值,在这种情况下即使发生装配偏差变化,仍能满足动态性能需求输出响应,公差波动也达到了最低。以6σ稳健模型开展数据处理时,能够确保方案满足适应性要求并在确定安装误差下实现锥齿轮传动。图1给出了具体的6σ稳健优化流程。
图 1 考虑安装误差的6σ稳健优化流程
算 例
本研究针对航空锥齿轮的传动控制过程开展6σ优化,基础轮坯参数见表1,安装误差边界设置见表2。首先通过通过敏感性因子完成各确定性指标的优化,随后再以6σ设计方法来实现对多目标加权平均数的运算。测试现场照片见图2。
表 1 轮坯基本参数
表 2 安装误差边界设置
图 2 测试现场照片
以6σ方法进行数据解析,以此调整正态分布装配随机偏差,计算得到第二阶接合数据,再使用蒙特卡洛采样方法进行100次随机采样后计算齿轮表面压痕(包括装配偏差),将计算得到的各参数列于表3中。通过各方案响应结果进行比较可知,未经优化的初始方案装配错误呈现不稳定波动的现象,导致标记点位置发生较大波动,使传递偏差达到2.43σ,达不到稳健控制要求,存在故障风险。经过确定性调节后的方案,提高了装配误差鲁棒性,能够达到99.9%可靠度,但会导致标记点位置发生强烈振荡,无法进行边缘调节,具有较大缺陷。而采用6σ优化方法对装配误差的鲁棒性较好,能够获得不低于99.995%的可靠度,所有波动均未超出优化界限,又不会造成标记点位置剧烈变化的情况,从而能够建立具有良好稳定性的齿轮系统。
表 3 传动误差响应结果
从传动误差轨迹性能对比可知,从接触疲劳影响和误操作轨迹变化方面存在较大差异,第二阶接触影响因素的特性表现出了一定的差异,最终形成了各装配误动作状态下传动误差大范围优化。相比于固定优化方案,6σ优化技术可将传动误差波形幅值缩小30%,可见6σ稳定设计具备更优可行性。
结 论
本文开展减速器齿轮接触参数6σ稳健优化及误差控制分析,取得如下有益结果:
1)未优化方案呈现不稳定波动,存在故障风险;采用6σ优化方法对装配误差的鲁棒性较好,能够获得不低于99.995%的可靠度。
2)相比于固定优化方案,6σ优化技术可将传动误差波形幅值缩小30%,可见6σ稳定设计具备更优可行性。
参考文献:略。
作者简介:张宁(1995—),男,河南漯河人,本科,助理实验师,从事机械工程工作。