


2026-05-05
2026-04-30
2026-04-29
2026-04-28
2026-04-27
2026-04-26
2026-04-23
2026-04-22
2026-04-21
2026-04-18
某大型齿圈,具有外径尺寸大、壁薄、模数小、螺旋角大、压力角为非标、尺寸精度要求高的特点,其渗碳淬火后的变形和胀大量与常规渗碳淬火齿轮存在很大差异。通过增加渗碳淬火前毛坯预备热处理,设计专用齿轮滚刀及专用淬火工装,利用齿轮滚刀控制齿面余量和齿部挖根量,专用热处理工装控制齿圈渗碳淬火的变形。经过实际制造,齿圈各部变形可控,齿面磨削余量均匀,零件满足设计及使用要求。
大型渗碳淬火齿圈是齿轮传动系统的重要组成部分,通常用于大型工程机械、舰船等装备。大型薄壁渗碳淬火齿圈的加工影响因素很多,且彼此交互影响,渗碳淬火变形控制难度大,生产中经常会因为工件的不均匀胀缩,变形量超过齿面设计余量而导致报废,如何控制渗碳淬火的变形已经成为国内外制造大型渗碳淬火齿圈的共性难题。公司制造的某薄壁齿圈,具有外径尺寸大、壁薄、模数小、螺旋角大、压力角小、尺寸精度要求高等特点,其渗碳淬火后的变形和胀大量与常规渗碳淬火齿轮存在很大差异,渗碳齿轮的热处理变形影响齿轮的精度、强度、噪声和寿命。如何合理选择渗碳淬火前齿面磨削余量,且同时有效控制齿圈渗碳淬火的整体变形量,成为该齿圈制造的关键。
齿圈材料为17CrNiMo6,化学成分如表1所示。 表1 17CrNiMo6钢的化学成分( 质量分数,%) 齿圈外径∅2730h8,内径∅2440mm,壁厚仅为145mm,净重4086kg,结构如图1所示。 图1 大型薄壁齿圈结构图 齿部为人字齿,模数小、齿数多、螺旋角大、齿面精度为国标5。 齿圈的主要技术要求如下: (1) 齿面渗碳淬火,精加工后有效硬化层深度1.35~1.85mm,齿面硬度58~62HRC,轮齿芯部硬度32 ~40HRC。 (2) 渗碳热处理质量按JB/T6141.2—1992《重载齿轮渗碳质量检验》的要求执行,同时要求表面硬度降不超过2HRC或40HV。 (3) 渗碳层的金相组织按JB/T6141.3—1992 《重载齿轮渗碳金相检验》执行,其中马氏体加残余奥氏体图1~3级合格; 碳化物1~3级合格; 心部组织1~3级合格。 (4) 除轮齿齿顶部分和轮齿端面外,其余部分均不允许渗碳,齿根部位和轮齿端面要求进行 喷丸处理。
综合分析该齿圈的结构及技术要求,其主要制造难点有: (1) 齿圈外径∅2730h8,内径∅2440mm,壁厚仅为145mm,属于大型超薄壁类齿圈零件,渗碳淬火的胀大量和变形规律与常规盘形类齿轮存在较大差异。该齿圈在公司属于首次制造,无经验可以借鉴。 (2) 该齿圈的使用要求严格,精磨削后齿面与齿根的过渡圆弧处不允许出现棱边棱角,齿根圆弧与齿面夹角不小于120°,渗碳淬火前的齿部挖根量设计要合理且加工需严格控制。 (3) 该齿圈按照目前常规的渗碳淬火变形方法控制,齿圈会发生椭圆、扭曲等形变,齿圈变形量超过设计值的几率大,报废风险大。如何有效控制齿圈的渗碳淬火变形是该齿圈制造的关键难点。
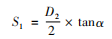
3.1制造方案设计 对该渗碳淬火薄壁齿圈的制造要求和制造难点剖析后,结合公司现有加工设备,从零件制造的可行性、可靠性、经济性确定了制造方案: 通过控制该齿圈渗碳淬火热处理的整体变形量,并根据预设的渗碳淬火变形量来设置该齿圈渗碳淬火前齿面余量和齿部挖根量,同时通过齿面余量和挖根量设计专用滚刀进行加工。为尽量减少毛坯晶粒、碳化物等原始组织对齿圈渗碳淬火变形的影响,增加毛坯预备热处理工序。制造工艺流程为: 毛坯调质预备热处理→半精加工→渗碳淬火→喷丸→精加工,详细制造方案如下: (1) 对齿圈毛坯进行预备热处理,选取的预备热处理方式是调质热处理。 (2) 根据类似薄壁内齿圈和薄壁外齿齿轮渗碳淬火后的胀大量经验数据和规律,综合分析确定该齿圈渗碳淬火后齿面胀大量,将齿面胀大量和齿面磨削余量值的总和作为该齿圈渗碳淬火前齿部挖根量的参考值。 (3) 利用齿部挖根量参考值和齿面磨削余量值设计齿圈渗碳淬火前滚齿加工刀具。 (4) 按工艺设定齿部留量值,采用专用的磨前留量滚刀进行滚齿加工,将齿部渗碳淬火前齿面余量控制在预定范围。 (5) 设计渗碳淬火内撑式工装,控制齿圈淬火时圆周收缩比例,控制齿圈的椭圆度,以减小渗碳淬火变形。 (6) 按渗碳淬火工艺进行齿圈的渗碳,合理选择料盘和支撑方式,确保渗碳后变形在控制范围内。 (7) 进行渗碳后的淬回火处理,淬火前将内撑式工装套入大齿圈内孔,而后进行淬火处理,齿圈淬火后进行回火处理时,回火加热结束后立即将齿圈从回火炉中快速取出,通过向内撑式工装型腔内注入冷水,工装快速冷却脱离工件,取出内撑式工装。 (8) 渗碳淬火热处理后分别检测工件内、外圆及厚度尺寸,分析计算其变形量是否在控制范围内,最后进行磨齿精加工。 (9) 渗碳淬火后留量粗车工件齿圈内壁,将余量大部分去除,而后进行工件在井式炉进行低温时效处理,释放工件加工时所产生的内部应力。 3.2调质热处理 齿圈毛坯粗加工后进行调质热处理作为渗碳淬火的预备热处理,改善薄壁大齿圈渗碳淬火前原始组织的均匀性,细化晶粒,使工件材质更加均匀。 (1) 调质热处理。 调质热处理曲线见图2。 图2 调质热处理曲线图 (2) 工件胀缩情况。 工件调质前后的尺寸测量数据见表2。 表2 齿圈调质前后尺寸测量 通过将大齿圈调质后的胀大量与常规薄壁大齿轮的调质胀大量进行对比,对于预估该大齿圈渗碳淬火后的胀大量具有一定参考意义。 3.3渗碳淬火前余量的确定和刀具设计 (1) 渗碳淬火前余量的确定参考外径相近的某大型薄壁齿轮渗碳淬火的实际胀大量,预估该齿圈渗碳淬火热处理后外圆胀大量D2,可以计算出齿面理论胀大量 S1。 通过计算,齿圈的齿面理论胀大量S1=0.475 mm。 齿面留磨量大小主要与公司的热处理工艺水平相关。当留磨量值小时,易发生根切; 留磨量取值大时,磨齿后易出现台阶。根据公司渗碳淬火齿轮渗碳淬火前磨削余量留量标准,渗碳淬火前齿面留量为S2=0.45 mm。 (2) 刀具的设计 根据齿圈的渗碳淬火齿面胀大量S1和渗碳淬火前齿面留量S2,齿圈渗碳淬火后齿面需要磨削的理论去除量为S=S1+S2=0.925mm,齿部挖根量必须大于S,同时考虑到齿部变形的均匀性,齿部挖根量预设为1.5 mm。刀具法向齿形见图3。 图3 刀具法向齿形图 3.4渗碳淬火内撑式工装设计 齿圈制造的最大难点为热处理变形控制,薄壁环形类零件在受热后易发生变扭曲等多种变形现象,若变形量过大,就会出现齿形磨不出或磨出后的齿根存在台肩现象,影响到齿圈的最终使用寿命。淬火时齿圈会急剧收缩,圆周收缩量不一致致使齿圈变椭。有效控制齿圈渗碳淬火变形的关键是控制淬火过程中齿圈收缩,将齿圈的椭圆度降到最低。 齿圈淬火过程中若齿圈内部缺少支撑、热容量小且淬火面积大就易造成形状和尺寸有较大的畸变,淬火冷却速度越快致使工件内外温度差越 大,其淬火产生的内应力也越大,变形也越严重。为减少淬火变形设计专用内撑式工装,结构示意图见图4, 图4 内撑式工装 内撑式工装采用多点支撑,外圆支撑面设计成槽牙结构,在保证工装支撑强度的同时降低齿圈内孔面与工装外圆面的接触面积, 便于回火后工装与工件的快速脱离。通过内撑式工装在淬火过程中对齿圈的均匀支撑控制齿圈的淬火变形量。 内撑式工装的外圆尺寸是按照17CrNiMo6钢的齿圈渗碳淬火的胀缩量进行初步设计,按大齿圈渗碳淬火1.3‰~1.5‰的胀大量计算,该薄壁大齿圈渗碳淬火后内孔的理论胀大量D3。考虑到渗碳淬火工装的控制效果,淬火后内撑式工装 支撑面与齿圈需要有过盈量。综合分析后将渗碳 淬火后内撑式工装与齿圈内孔的过盈量确定C。 内撑式工装外圆的设计尺寸D3+C。 渗碳淬火时,内撑式工装不与工件一起进炉进行渗碳和淬火的加热,仅在淬火前将内撑式工装装入齿圈中部( 见图5) 与齿圈一起淬火。淬火完成后齿圈一起回火。回火完成后立即向工装内部通入冷却水,工装快速冷却与齿圈脱离,顺利将内撑式工装从齿圈内取出。 图5 内撑式工装工作状态示意图 3.5渗碳淬火工艺设计 齿圈用清洗剂清洗风干后,在齿部以外区域刷防渗涂料。防渗碳涂料风干后工件平稳装入渗碳料盘,工件底面采用等高垫块垫平,吊具起吊装入渗碳炉。由于齿圈渗碳淬火前加工量较大,加工过程中切削区域产生挤压等塑性变形,导致切削部分存在残余应力,因此齿圈渗碳前增加去应力退火工序,退火温度550℃。去应力退火完成后直接对齿圈进行渗碳。由于齿圈热变形主要 是热应力和组织应力导致,装炉方式会影响薄壁齿圈的淬火变形,渗碳时采用专用耐热钢料具并将料盘修平,利用制作可调整工装垫块,将齿圈垫平,保证齿圈装炉后的平整性,防止因渗碳装料原因造成的齿圈的端面翘曲变形。装炉后利用井式气体渗碳炉进行齿面渗碳,采用甲醇+丙酮富化气作为渗碳气氛,工艺曲线见图6。 图6 大齿圈渗碳淬火工艺曲线 渗碳时采取分段加热升温至渗碳温度930℃,并在 480℃、650℃、780℃各段保温4h,减小齿圈升温过程因为各部受热不均引起热应力变形。材料受热不均会影响奥氏体的转变速度,工件会因奥氏体转变速度不同发生畸变。渗碳结束后通保护性气氛,工件在保护性气氛状态下冷却, 炉冷至720℃,而后再快冷至450℃后出炉,预防齿面在无气氛保护的高温阶段产生脱碳,降低出炉温度防止工件氧化脱碳。 淬火升温过程采用阶梯式升温,升温过程中设置650℃均温台阶,淬火加热温度为830℃,保温7h,淬火前1h将加热温度提升至 840℃,提高温度以利于增大齿圈的热膨胀量,更有利于内撑工装装入齿圈内孔。淬火介质为快速淬火油,淬火前将油槽开启搅拌,工件入油时停止搅拌, 1min后再开启搅拌,缩小工件与淬火油的温度差,同时增加淬火油的流动性,使工件均匀冷却, 减小齿圈淬火过程的变形。淬火后进行低温回火,通过该渗碳淬火工艺处理后的工件,经检测工件有效硬化层深度、齿面硬度、芯部硬度和显微织均符合技术要求。
4.1齿圈的滚齿加工 齿圈渗碳淬火前采用ZFWZ60滚齿机滚齿,该滚齿机最大直径∅6300mm,最大轴向行程为1750mm,机床的各项技术参数均满足齿圈的滚齿加工需要。滚齿采用一次装夹完成齿圈左右旋人字齿的滚齿加工方案,如图7。齿圈齿坯利用分离式胎座支撑,利用专用右旋滚刀加工齿坯右旋齿,待齿部右旋齿加工完成后换专用左旋滚刀加工齿坯左旋齿。齿坯左右旋齿面留量均按同一设计留量值控制。 图7 大齿圈在滚齿机加工 4.2渗碳淬火热处理 渗碳淬火采用内撑式工装和预设渗碳淬火工艺,有效控制了大齿圈淬火时的变形,完成了大齿圈的渗碳淬火热处理,如图8。 图8 大齿圈渗碳淬火 4.3大齿圈渗碳淬火变形检测 渗碳淬火后对大齿圈的实际变形进行检测, 检测位置见图9,检测数据见表3和表4,利用预设渗碳淬火工艺和内撑式工装支撑后淬火,渗碳淬火大齿圈的直径胀大量为1.4‰~1.9‰,锥度最大变形量为0.66mm。 表3 大齿圈外径变形检测数据( 单位: mm) 表4 大齿圈外径变形及内径胀大量检测数据 齿圈外径的实际胀大值与预估胀大值基本吻合,整体变形符合工艺预设, 表明工艺方案可靠,具备批量生产应用的条件。 图9 大齿圈检测位置 4.4齿圈的磨齿加工 齿圈磨齿选用莱斯豪尔ZP40( ∅4 m) 数控成型磨齿机,该机床最大加工直径∅4000mm,最大磨削齿深 120mm,工作台最大承重40t,磨轴最大转速6000 r/min,磨削精度为国标3级,各项指标参数均满足该齿圈磨齿加工需求,如图10。 图10 大齿圈磨齿加工图 齿圈热处理后磨齿齿面磨削量不均会导致齿部最终硬化层深浅不均,齿面残余应力分布不均匀,影响齿轮的承载能力及使用寿命。齿圈磨削前采用整体式胎座支撑,磨齿机测量头多次检测齿面余量,均分余量后将齿圈左右旋齿面按同一留量值粗磨。粗磨完成后再次利用磨齿测头二次分配磨削余量,均分余量后精磨齿面,最大程度保证齿面磨量均匀,提高齿面的整体承载能力和使用寿命。经检测,大齿圈成品满足图纸设计要求,如图11所示。 图11 大齿圈成品
通过渗碳淬火前增加毛坯预备热处理,设计齿圈专用滚齿刀具和专用热处理渗碳淬火工装, 利用专用齿轮滚刀控制齿面余量、齿部挖根量,采用内撑式工装在淬火过程中与薄壁齿圈形成良好贴合,确保淬火后齿圈齿部的变形均匀,有效解决了大型薄壁渗碳淬火齿圈的渗碳淬火变形不均匀、变形量超过预设变形量的问题,攻克了大型渗碳薄壁齿圈制造的关键难题,成功完成了该齿圈 的制造,同时为此类渗碳淬火齿圈的制造提供了新的研究方向。 参考文献略。 作者简介: 邓燕斌(1989—) ,男,学士,工程师,主要从事传动产品制造工艺设计和技术研究工作。