


2026-04-10
2026-04-11
2026-04-09
2026-04-08
2026-04-06
2026-04-03
2026-04-02
2026-04-01
2026-03-31
2026-03-30
HuiRong Technology
本期推出:面向低噪纹理的珩磨轮几何参数优化方法(二)
2.1 珩齿齿面纹理分布模型
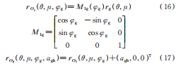
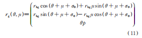
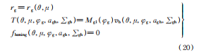
根据齿轮几何与应用原理,在珩齿齿轮运动坐标系Sg下标准渐开线斜齿轮的齿面位置矢量rg为

式中:θ、μ为珩齿齿轮渐开线齿面参数;σ0为渐开线的起始 角;p 为螺旋线参数。
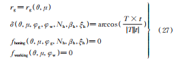
如图8所示,选取珩齿齿轮的固定坐标系 S1 作为参考坐标系,假设S1中珩齿齿轮齿面上的一点M(x,y,z)与珩磨轮接触,根据齿轮啮合原理,此时该点处相对速度vb垂直于珩磨轮与珩齿齿轮 在该点处的共同的法向量n,即

M点处的珩削速度矢量为

式中:ωg、ωh分别为珩齿齿轮和珩磨轮的旋转矢量;rO1 、rO2 分别为M点到参考坐标系S1和S2坐标原点的位置矢量。

图8 空间接触点的相对速度示意图
珩齿齿轮和珩磨轮的旋转矢量ωg和 ωh可以表示为

式中:j,k分别为空间直角坐标系中y轴与z轴的单位向量。通过坐标变换,用运动坐标下Sg的齿面位置矢量rg表示M点的位置矢量,则rO1 、rO2可以表示为

式中:M1g为由运动坐标系Sg到固定坐标系S1的变换矩阵。 根据坐标变换以及式(9),齿面M点的法向量在坐标系S1中可以表示为

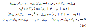
联立式(11)~式(18),内啮合强力珩齿加工的啮合方程为

其中,φg为未知量,可由式(19)求得。
综上所述,根据珩齿齿面纹理分布方向与珩 削速度方向的映射关系,珩齿齿轮齿面纹理的分布方向T(θ,μ,φg,agh,∑gh )可以表示为

在珩齿齿轮参数不变的情况下,根据式(1)~式(5),中心距agh和轴交角∑gh可以表示为

因此,珩齿齿面纹理整体分布趋势可由珩磨轮的齿数Nh、螺旋角βh、变位系数ξh表示为

2.2 传动接触线与珩齿齿面纹理的夹角模型
在新能源汽车减速器中,珩齿齿轮通常被当作输入轴齿轮,并与其配对齿轮组成第一级齿轮减速副,两者的运动关系通常为一对平行轴斜齿轮传动,如图9所示。其中,Sm( Omxmymzm)跟随配对齿轮同步运动,S3(O3x3y3z3)用作参考的空间固定坐标系。φw、φm分别为传动过程中珩齿齿轮和配对齿轮的转角,两者角速度分别为ωw和ωm,中心距为agm。

图9 斜齿轮传动运动学模型
根据交错轴齿轮啮合方程(式(19)),平行轴斜齿轮传动时的啮合方程为

式中:Nm为配对齿轮的齿数。因此当珩齿齿轮到达某一转角 φw时,所有符合式(24)的θ、μ所对应的齿面点集构成了此时的传动接触线:

当珩齿齿轮传动转角为φw时,传动接触线的切向量t可以表示为

联立式(23)和式(26),在假定珩齿齿轮及其配对齿轮不可变的情况下,珩齿齿轮的表面纹理 与其传动接触线夹角δ可以表示为

3.1 面向低噪的珩齿齿面纹理分布策略
齿轮的表面纹理会影响其传动过程中的滚动-滑动摩擦特性,进而影响传动噪声 。基于采用有限元分析齿面纹理对线接触摩擦振动噪声影响的研究方法,模拟出齿面纹理与传动接触线间不同的夹角,并对纹理表面与光滑表面的摩擦系统进行瞬态动力学分析,仿真流程见图10。
将齿面纹理与传动接触线间夹角δ从 0°~90° 共划分为91组,进行振动加速度的时域信号求解。由于振动加速度的时域信号在夹角超过3°后

图10 不同纹理对摩擦振动噪声影响的仿真流程
表现出相似性,因此本文给出了 0°,1°,2°,3°,4°, 5°,45°和 90°夹角下的振动加速度,如图11所示。

图11 部分振动加速度时域信号图
有限元仿真结果表明,当齿面纹理与传动接触线夹角 δ≤3°时会引起不规律的振动且这种振动会随着夹角的增大而减少;当 δ>3°时这种振动几乎消失。此外,当 δ>3°时,随着夹角的增大振动加速度时域信号幅值也逐渐增大,这表明齿面纹理与传动接触线间夹角大于3°且靠近3°时对摩擦振动噪声具有抑制作用。
因此,可以通过调整珩磨轮的齿数Nh、螺旋角 βh、变位系数 ξh来改变珩齿齿面纹理的分布趋势,进而降低齿面纹理与传动接触线间不良夹角的占比(珩齿齿面纹理中与传动接触线间夹角 δ≤3°的纹理)以及提高齿面纹理对摩擦振动噪声的抑制作用(降低珩齿齿面上与传动接触线间夹角 δ>3°的纹理的夹角平均值),实现优化珩齿齿面纹理分布的目的。
3.2 珩磨轮几何参数优化模型
3.2.1 决策变量
珩齿齿面纹理在接触线上分布的影响因素有:珩磨轮、珩齿齿轮及配对齿轮的几何参数,以及珩齿加工过程中各轴的运动速度和联动关系,但在实际加工过程中,除珩磨轮几何参数以外的其他因素已确定或影响很小,在优化过程中不再予以考虑。因此本文选取珩磨轮的齿数Nh、螺旋角βh、变位系数ξh作为决策变量。
3.2.2 优化目标
在前文分析中,已确定珩齿齿面纹理与传动接触线间的夹角小于等于3°或者过大均对线接触摩擦振动噪声具有不利影响,因此,选取的优化目标如下:
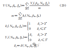
1)珩齿齿面上与传动接触线间夹角小于等于3°的纹理所占的比例

式中:n 为选取的珩齿齿轮表面的纹理条数,理论上n的值越大所求的目标函数值越准确。
2)珩齿齿面上与传动接触线间夹角大于3°的纹理的夹角平均值

式中:m 为纹理中与传动接触线间夹角大于 3°的数量。
3.2.3 约束条件
珩磨轮的几何设计受到珩齿齿轮和机床条件的限制,如珩磨轮的齿数受到珩齿齿轮齿数和珩齿机床珩磨头尺寸的限制,因此,需要对珩磨轮几何参数的设计范围进行约束,具体如下:

式中:Nhmin、Nhmax分别为珩磨轮设计所允许的最小齿数和最大齿数;βhmin、βhmax分别为珩磨轮设计所允许的最小螺旋角和最大螺旋角;ξmin、ξmax分别为珩磨轮设计所允许的最小变位系数和最大变位系数;∑min、∑max分别为珩齿加工所允许的最小轴交角和最大轴交角。
3.2.4 优化模型
综上所述,面向低噪纹理的珩磨轮几何参数多目标优化模型如下:

3.2.5 优化流程
利用NSGA-Ⅱ优化算法更新珩磨轮几何参数,并求解目标函数值,优化迭代流程如图12所示。

图12 珩磨轮几何参数优化流程
- 未完待续 -
作者简介:张旭,男,1999 年生,硕士研究生。研究方向为智能制造、齿轮加工。李聪波(*通信作者),男,1981年生,教授、博士研究生导师。研究方向为绿色制造、智能制造、齿轮加工、制造系统能效。
来源:《中国机械工程》;版权归原作者和原出处所有。所发内容仅作分享之用,不代表本平台立场;如需删除请联系我们。