


2026-04-16
2026-04-15
2026-04-14
2026-04-13
2026-04-10
2026-04-11
2026-04-09
2026-04-08
2026-04-06
2026-04-03
为实现面齿轮传动在航空大功率、小传动比、空间受限条件下的设计分析,基于空间限制要求进行了大功率小传动比直齿面齿轮副设计。为改善直齿面齿轮副的偏载现象,通过圆柱齿轮的齿廓修形与齿向修形,避免了小传动比直齿面齿轮副啮合过程中的边缘接触与齿顶应力集中。采用轮齿接触分析(TCA)与承载接触分析(LTCA)方法分析了安装误差对面齿轮副传动误差和啮合接触轨迹的影响,进而优化了面齿轮副的齿面修形量。结果表明:通过合理的齿顶倒角和齿面修形等方法,可以实现大功率小传动比的高性能面齿轮传动设计。研究结果为空间限制条件下小传动比直齿面齿轮副的齿面设计与实际应用提供了理论指导。
面齿轮传动具有互换性好、传动比大、适合分流传动、占用空间小等诸多优点和几何特性,可以实现交错轴或者相交轴之间的运动或扭矩的传递,通常用于大传动比的场合。有许多学者对其进行了研究,Litvin利用现代齿轮啮合理论,根据齿面根切和齿顶变尖条件给出了非线性方程组,求解得到了面齿轮最小内半径和最大外半径;Wei等进行了轮齿修形对齿轮传动系统啮合特性的影响研究;沈云波、赵宁等针对面齿轮出现的应力集中、边缘接触现象,提出了面齿轮齿廓修形的方法;但是对于一些特殊情况,如大功率、小传动比、空间尺寸受限等,也需要使用小传动比的面齿轮传动。针对这样的使用场合和传动特性,需要对面齿轮副进行特殊设计。但是对于 一些特殊情况,如大功率、小传动比、空间尺寸受限等,也需要使用小传动比的面齿轮传动。针对这样的使用场合和传动特性,需要对面齿轮副进行特殊设计。
本文在给定的空间限制条件下,针对大功率小传动比的直齿面齿轮副进行传动参数设计、齿面修形设计以及轮齿接触(Tooth Contact Analysis,TCA)、承载接触(Loaded Tooth Contact Analsis,LTCA)分析,研究了安装误差对其传动误差、啮合接触轨迹的影响。
由于空间尺寸有限,对本文小传动比面齿轮副的 尺寸限制为:面齿轮的最小内直径为187mm,最大外 直径为250mm,最大齿宽为31mm;圆柱齿轮的最大外直径为167mm。 已 知 面 齿 轮 传 递 的 扭 矩T1=1030.57N·m,取动载系数Kv=1.1、使用系数KA=1.1,则仿真时使用的面齿轮扭矩为T=Kv·KA·T1=1246N·m。考虑圆柱齿轮的空间极限尺寸,且齿顶高系数ha*=1,顶隙系数从 c*=0.25,设圆柱齿轮齿顶圆直径为其空间允许的最大直径,即(z2+2ha*)·m=167mm。在给定的传动比i=0.695~0.927、压力角α=25°~27.5° ,面齿轮副在不同模数下的齿数选择范围见表1。
表1 面齿轮副在不同模数下的齿数选择范围

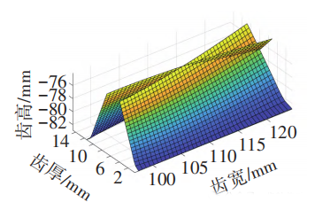
由于面齿轮的特点,其内径处齿根容易根切,外径处齿顶容易变尖,其齿宽受到一定限制。为了保证面齿轮的强度,应该考虑面齿轮的齿宽最大化。为避免齿顶变尖且获得较大齿宽,在给定空间尺寸限制条件下,对本文面齿轮的外径齿顶处做大倒角,面齿轮近外径的齿顶处倒角前、后齿形对比如图1所示。面齿轮的最大外半径取125mm,初步选取的面齿轮传动参数见表2。

(a)面齿轮近外径处齿顶未倒角

(b)面齿轮近外径的齿顶处做大倒角
图1 面齿轮近外径的齿顶处倒角前、后齿形对比
表2 初步选定的小传动比直齿面齿轮副参数

注:(1)依据面齿轮的极限最大外半径 125 mm,计算面齿轮的齿 宽中部半径、齿宽及最大压力角;(2)面齿轮任意直径处压力角cos α = mn zn cos αn /d 近似为 cos α = mn zn cos αn /d,其中:mn为面齿轮的法向模 数,zm为面齿轮的齿数,αn为面齿轮的名义压力角,d为面齿轮上的任 意直径。
通常面齿轮副可采取齿数差修形,即取展成加工面齿轮的插齿刀齿数大于圆柱齿轮1~3个齿。本文先使用1组数据进行试算,算例参数见表3,齿数差为1,TCA得到的接触轨迹如图2所示。从图中明显可见,主要的啮合接触点基本在靠近面齿轮内径处,即在面齿轮分度圆附近;在靠近外径的齿顶处可能有边缘接触。
表3 初算算例参数

图2 TCA计算获得的面齿轮齿面啮合接触点
采用 ABAQUS 软件计算面齿轮副的齿面接触应力分布,如图3所示。从图中可见偏载现象,载荷偏向面齿轮的内径一侧。从表2中也可知,齿宽中部半径与分度圆半径相差至少为10mm,这将导致面齿轮副啮合时,啮合轨迹和接触区域均靠近面齿轮的内径处,偏载严重,直接影响到了面齿轮副的强度。因此,必须改变该面齿轮副的偏载现象,对其进行齿面修形。

(a)圆柱齿轮齿面接触应力分布

(b)面齿轮齿面接触应力分布
图3 面齿轮副齿面接触应力分布
通常对面齿轮副修形采取的是针对面齿轮的齿数差修形方式。在采取齿数差修形时,面齿轮齿面将产生鼓形修形,修形中心为分度圆处,修形量向内径端和外径端2个方向延伸。齿数差为1时的修形量分布如图4所示。由于内径端到分度圆的距离太小,而外径比分度圆大的多,导致外径修形量远远大于内径处。这样将使得齿面接触印痕偏向轮齿内径端,故本文不适合采用齿数差修形。

图4 齿数差为1时偏差对比
综合以上分析,本文取插齿刀齿数与圆柱齿轮齿数相同,且zs=z1,对圆柱齿轮进行齿面修形,修形方式为齿向修形和齿廓修形,保证面齿轮与圆柱齿轮之间为点接触;修形曲线为抛物线二次修形;修形曲线及各参数如图5所示。

图5 齿面修形曲线
考虑到在面齿轮副实际加工中,对小齿轮修形较容易实现,因此,优先考虑小齿轮齿面修形设计。通过对多组参数进行试算,根据接触迹线的影响规律可以发现:齿廓修形可使接触迹线发生旋转,避免面齿轮副的边缘接触现象;齿向修形可使接触迹线集中于齿宽中部,避免面齿轮副的偏载现象。经过多组试算,选定面齿轮副设计参数和初始修形参数见表4、5。
通过TCA分析可得该直齿面齿轮副的传动误差如图6所示,直齿面齿轮齿面上的啮合轨迹如图7所示。从TCA分析可知,面齿轮副的传动误差幅值较大,达到38rad/s;接触轨迹近似为1条开口向上的抛物线,遍布大部分齿面,可以有效提高面齿轮的承载能力。
表4 设计参数

表5 面齿轮副小轮的初始修形参数


图6 传动误差曲线

图7 TCA计算获得的直齿面齿轮齿面啮合接触线
为避免边缘接触及齿顶应力集中现象,对面齿轮齿顶倒圆弧半径0.3mm,圆柱齿轮齿顶倒圆弧半径0.5mm。利用商业软件生成input文件,构建面齿轮副5齿啮合模型和有限元模型,如图8所示。为了直接观察齿面接触应力及弯曲应力,取图8中间齿为分析对象。利用程序调用ABAQUS进行LTCA分析,生成OBD文件,从LTCA计算结果,面齿轮副的最大接触应力、最大齿根弯曲应力见表6,面齿轮副接触应力和弯曲应力如图9、10所示。在面齿轮设计参数和初始修形参数(表 4、5)下, 面齿轮副的接触轨迹近似为1条开口向上的抛物线,

图8 面齿轮接触5齿有限元模型
表6 接触应力和齿根弯曲应力

(a)面齿轮的齿面接触应力

(b)面齿轮的齿根弯曲应力
图9 面齿轮的接触应力及齿根弯曲应力

(a)圆柱齿轮的齿面接触应力

(b)圆柱齿轮的齿根弯曲应力
图10 圆柱齿轮的接触应力及齿根弯曲应力
遍布大部分齿面;面齿轮的重合度约为1.83(通过有限元结果估算,相邻2个齿同一位置时的帧数差/单个齿啮入与啮出的帧数差),接触区域分布在齿面中部,占工作齿面比约为86.5%(接触面积/工作齿面)。对比材料的许用应力数据:该方案符合材料强度要求,且该修形方案可以较好地改善面齿轮副偏载问题。 但是,通过TCA分析传动误差曲线可见,该参数下还存在传动误差曲线不交替的问题,会造成齿轮副啮入冲击,使得面齿轮齿顶部位承载较大。
4.1 含安装误差的面齿轮副齿面接触分析
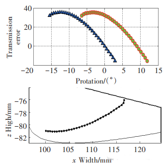
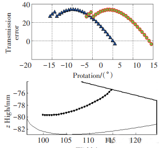
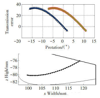
由于正交直齿面齿轮副在装配或使用过程中难免会形成安装误差,而不同的安装误差对齿轮副接触的影响不同,有必要分析安装误差变化对传动误差曲线和齿面接触轨迹的影响。给定的正交直齿面齿轮副安装误差数值见表7。 经过面齿轮副含安装误差的齿面接触分析,获得在轴交角误差Δγ、轴向偏移误差Δq、轴交错误差ΔE、综合安装误差下面齿轮副的传动误差曲线和标准面齿轮的齿面接触轨迹,如图11所示。
4.2 安装误差对面齿轮副传动误差的影响
在面齿轮副啮合过程中,面齿轮齿面在靠近外径、齿顶处啮入(可能产生边缘接触),到内径处啮出。在各种安装误差下,从表7和图11中可见,在有边缘接触的区域面齿轮副传动误差较大,在齿面中部靠内径处的传动误差较小,其中当存在负的轴向偏移误差时,传动误差幅值比在标准安装条件下的要小得多,更加理想(图 11(c));正向的轴交错误差也可改善传动误差(图11(g))。考虑重合度等因素,本文面齿轮副的综合传动误 差幅值及传动误差曲线与标准安装下的传动误差幅值和传动误差曲线非常接近,说明本文点接触直齿面齿轮副在有一定安装误差的情况下其传动比变化不大。

(a)算例1传动误差曲线和面齿轮啮合点轨迹

(b)算例2传动误差曲线和面齿轮啮合点轨迹

(c)算例3传动误差曲线和面齿轮啮合点轨迹

(d)算例4传动误差曲线和面齿轮啮合点轨迹

(e)算例5传动误差曲线和面齿轮啮合点轨迹

(f)算例6传动误差曲线和面齿轮啮合点轨迹

(g)算例7传动误差曲线和面齿轮啮合点轨迹

(h)算例8传动误差曲线和面齿轮啮合点轨迹

(i)算例9传动误差曲线和面齿轮啮合点轨迹
图11 不同安装误差下传动误差曲线和面齿轮啮合点轨迹
表7 给定的正交直齿面齿轮副安装误差数值

4.3 安装误差对面齿轮副接触轨迹的影响
在标准安装条件下,面齿轮副的齿面接触轨迹近 似为1条开口向上的曲线,沿齿向进行分布。从表7和图11TCA结果可见,各项安装误差的变化对接触轨 迹的影响不同:
(1)齿面接触轨迹对轴交角误差Δγ最为敏感,对轴向偏移误差Δq次之,对轴交错误差ΔE最不敏感。
(2)当轴交角误差Δγ或轴向偏移误差Δq为正且不断增大时,接触轨迹线沿齿向向着面齿轮外径端偏移;轴交角误差Δγ或轴向偏移误差Δq为负且不断减小时,接触轨迹线沿齿向向着面齿轮内径端偏移。
(3)当轴交错误差ΔE为正且不断增大时,接触轨 迹沿齿向向着面齿轮内径端偏移;当轴交错误差ΔE为负且不断减小时,触轨迹沿齿向向着面齿轮外径端偏移。综合安装误差的变化对面齿轮齿面接触轨迹的影响规律为:如果各项单独的安装误差对接触轨迹的影响趋势相同,综合安装误差会使接触轨迹的偏移量增大;相反,如果各项单独的安装误差对接触轨迹的影响趋势不同,综合安装误差会使接触轨迹的偏移量减小。说明综合安装误差对接触轨迹的影响会出现叠加或者抵消的作用。
通过以上针对初始设计的小传动比直齿面齿轮副的 TCA 分析结果可知,在齿面初始修形条件下,算例1、2、5、6、8的接触轨迹虽然分布在整个齿面,但传动误差存在不连续的情况,面齿轮副的重合度变小。为了使传动连续,对初始修形参数进行改进,修形参数见表8。
表8 改进前后的修形参数

通过TCA得到改进修形后面齿轮副的传动误差与啮合轨迹,如图12、13所示。

图12 改进修形参数后面齿轮副的传动误差曲线

图13 改进修形参数后面齿轮的啮合接触线
从图12、13 中可见,在修改齿面修形量后,传动误差不连续的情况明显改善,有效提升了小传动比直齿面齿轮副的传动性能。
(1)采用本文的齿面修形方法可实现满足强度要求的大功率小传动比直齿面齿轮副的设计。修形后,接触区域占工作齿面约为86.5%,改善了齿面偏载现象并避免了齿顶应力集中,同时解决了面齿轮副传动误差不连续的问题。
(2)由TCA与LTCA分析得出:负轴向偏移误差及正向轴交错误差可改善面齿轮副传动误差;当轴交角误差Δγ或轴向偏移误差Δq增大时,面齿轮副接触轨迹线沿齿向向着面齿轮外径端偏移,当轴交错误差ΔE增大时,面齿轮副接触轨迹沿齿向向着面齿轮内径端偏移;综合安装误差对面齿轮副接触轨迹的影响会叠加或抵消。
作者简介:滕文爽(1990),女,硕士,工程师。 来源:《航空发动机》;版权归原作者和原出处所有。所发内容仅作分享之用,不代表本平台立场;如需删除请联系我们。