


2026-04-02
2026-04-01
2026-03-31
2026-03-30
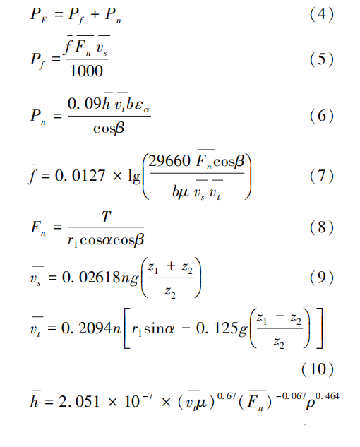
2026-03-28
2026-03-27
2026-03-26
2026-03-25
2026-03-23
2026-03-21

近年来,由于新能源汽车领域的迅猛扩张与国内汽车市场竞争的白热化,使消费者对汽车技术的期望与日俱增。随着国内新能源汽车市场渗透率逐渐提高,预示着汽车市场“电比油多”的时代马上到来。特斯拉作为新能源汽车的龙头企业,在打响价格战第一枪后还引发了一场全国汽车行业的内卷。这场内卷不仅体现在价格上,更体现在技术研发、市场布局等多个方面。在这样的背景下,汽车技术的每一个细节显得至关重要。斜齿轮作为汽车动力传输系统中减速器的核心部件,其运行过程中的功率损失对整车的能效表现一直有很大的影响。相关研究表明,齿轮啮合功率损失占据齿轮传动功损的大部分,其中的滑动摩擦功损是影响啮合效率最主要的因素。搅油损失则受润滑油的运动粘度、工作温度、齿轮的各种参数、齿轮的浸油深度、当地重力数值等多种因素的影响,所以计算斜功率损失是一个复杂的函数关系。张磊磊为研究不同工况下浸油润滑齿轮箱搅油损失,设计并搭建了一种新型减速箱齿轮搅油试验台架,分析了减速箱在不同位置浸油深度、不同齿轮转速和横隔板复合作用下的齿轮搅油损失。范桢采用理论-仿真-试验相结合的方法对某电动汽车变速箱不同润滑工况下的传动齿轮功率损失、热流场分布情况以及润滑效果进行了分析和验证。KahramanA提出了一种新的流体动力学模型,用于预测斜齿轮啮合中空气、油或空气-油混合物包入引起的功率损失,并且还可以计算瞬时袋装功率损失。Wus、WangM提出了一种考虑齿间油膜力的行星齿轮系统扭转振动非线性动态特性分析方法,建立了考虑油膜的行星齿轮系三自由度扭转振动模型,目的是为了减小行星齿轮系的扭转振动,实现更稳定的转动。

斜齿轮相关计算
斜齿轮相关参数的选择:
日常家用电动汽车的最高转速为16000r/min, 其电机的峰值扭矩为320N·m,所以其齿轮设计转速较高,齿轮工作时的承载也较大,在汽车的减速器中,设计齿轮重合度ε>4,传动误差(TE)<0.25μm,齿轮重合度用ε表示,其计算公式为:

式中,αα1为主动齿轮齿顶圆的压力角;αα2为从动齿轮齿顶圆的压力角;α为斜齿轮啮合角;z1为主动齿轮的齿数;z2为从动齿轮的齿数;式中的“ ±”,当齿轮外啮合时为“+”,内啮合为“-”。
斜齿轮接触应力:
以某汽车减速器的斜齿轮副及其传动轴承为研究对象,并建立其中一组的斜齿轮副模型,如图1所示。

图 1 斜齿轮副模型
其啮合接触应力:

名义齿面接触应力:

其中,KA为使用系数;KV为动载系数;KHβ为接触强度计算的齿向载荷分布系数;KHα为接触强度计算的齿间载荷分配系数;ZB、ZD为单对齿啮合系数;Ft为端面分度圆上的名义切向力;b为工作齿宽(较小值);d1为小齿轮分度圆直径;ZH为节点区域系数; ZE为弹性系数;Zε为重合度系数;Zβ为螺旋角系数。

斜齿轮功率损失计算
齿面摩擦功率损失:
斜齿轮在啮合过程中,由于齿面的微观不平以及啮合时的相对运动,就会相应地产生各种类型的功率损失,此外,还会影响齿轮啮合时的传动效率。齿轮的摩擦功率损失主要分为两部分,第一部分是斜齿轮之间的滚动摩擦功率损失,第二部分是斜齿轮之间的滑动摩擦功率损失,两部分损失之和可以近似等于总摩擦功率损失。斜齿轮啮合的滑动摩擦损失产生的主要原因:当两齿轮啮合时,在啮合点由于相对速度的不同,就会导致二者齿面相对运动,继而会有一部分能量损失。摩擦功率损失与啮合点的平均滑动量和平均载荷有关,滚动功率损失与润滑膜对齿轮的接触面有关。斜齿轮的总摩擦功率损失由滑动摩擦功率损失与滚动摩擦功率损失两部分相加得到,相关摩擦损失的公式如下:


式中,总摩擦功率损失为PF,kW;滑动摩擦功率损失Pf,kW;滚动摩擦功率损失Pn,kW;滑动摩擦系数f;油膜厚度h,mm;齿宽b,mm;端面重合度εα;螺旋角β;动力粘度系数μ,pa·s;齿轮转速n,r/min;啮合线长度h,mm;主动齿轮的齿数z1;从动齿轮的齿数z2;齿轮压力角α;主动轮分度圆半径r1,mm;此处扭矩T,N·m;齿面接触半径p,mm;齿轮模数m。
搅油功率有关损失:
搅油功率损失,是指齿轮在油浴中旋转时,由于液体阻力所引起的功率损失。这一损失的大小与齿轮的设计参数、工况参数以及润滑油的特性密切关。根据英国标准ISO/TR14179-1等,斜齿轮搅油功率损失的计算通常分为几个部分,包括与光滑外径、光滑侧面和啮合面相关的搅油热功率损失。第一部分光滑外径搅油热功率损失Pj1:

其中,fg为浸油因子,表示齿轮浸入润滑油的浸入系数;μ0为润滑油的动力粘度;n为齿轮转速;D为齿轮外径大小;L为齿轮齿宽;Ag为搅油比例常数。第二部分光滑侧面搅油热功率损失Pj2:

轴承摩擦损失的计算:
当减速器中的斜齿轮啮合时,由于每根轴的两端都存在轴承,所以在轴承工作时其内部也会有一部分的功率损失,令轴承的总功率损失为Pz,其中包括轴承滑动摩擦功率损失Ms、接触面滚动摩擦功率损失Mr、润滑油引起的搅油功率损失Md以及轴承密封件的功率损失Me。
轴承滑动摩擦:
轴承在转动时,若运动套圈无法提供充足的拖动力维持滚子运动,就会引起相应的轴承内部的滑动摩擦。这部分轴承内部的滑动摩擦损失可以用下式计算:

其中,Cs为滑动摩擦参数,与轴承的类型、结构、各项参数等有关。参数Cs的计算公式如下:

其中,K1、K2为几何常数,与轴承类型有关;节圆直径dm,mm;径向载荷Fr、轴向载荷Fa,N;轴向载荷参数Y。轴承的滑动摩擦系数μs,由相关设计手册可知。
轴承滚动摩擦:
由于轴承在工作时会因为形变导致内部滚子滚动受阻,从而引起摩擦损失,其计算公式如下:

其中,ϕx为切入发热减小系数,Hx为运动贫油回填减小系数,其计算公式如下:

式中,d、D为轴承的内、外径,mm;Krs为贫油回填常数;Kz为回填几何常数,与轴承类型有关。
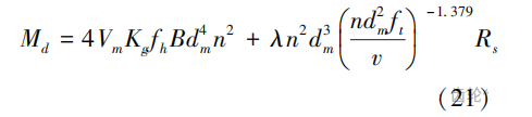
搅油功率损失:
当轴承滚动时,密封件里的润滑油对轴承内部会产生一个拖拽的阻力,从而引起相应的摩擦损失,这部分损失受多种因素的影响。对于滚子类的轴承,其相应的摩擦损失可以表示为:

式中:Vm为损失系数;B为轴承的宽度,mm;λ=1.093×10-7。Kg为轴承滚子常数,由设计手册可知。fh为相关润滑系数,ft为油位系数。根据SKF方程可知摩擦损失的总计算公式如下:


Amesim的相关建模与仿真
对减速器进行3D建模能够让我们更清楚地认识其传动机构以及特点。利用Amesim软件对二级减速器中斜齿轮进行仿真,能模拟出实际情况下齿轮不同参数对应的功率损失情况,方便我们后续进行研究与探索。
二级减速器3D建模:
根据研究需要建立了斜齿轮模型、传动轴模型以及轴承模型,如图2所示。

图 2 减速器3D模型
Amesim的建模:
利用Amesim软件建立仿真模型,结构如图3所示。该二级减速器是由两组互相啮合的斜齿轮以及三对滚子球轴承组成,用来模拟汽车二级减速器的实际结构。

图 3 基于Amesim的减速器仿真模型
此模型中相关的大小齿轮参数如表1所示。
表 1 小齿轮和大齿轮参数

由于齿轮互相啮合时会产生相应的摩擦损失,使温度升高,所以在此模型中还需有一套温度检测系统,监测相关温度的变化,模拟实际的工作情况。大小轴承的主要参数如表2所示。
表 2 小轴承与大轴承的参数

本次仿真采用PID控制齿轮的转速,情况如图4所示。

图 4 大齿轮转速
在0~1s时大齿轮转速从0r/min稳定增长至200r/min;在1~3s时大齿轮转速从200r/min稳定增长至400r/min;在3~6s时大齿轮转速从400r/min稳定增长至800r/min;在6~7s时大齿轮转速保持800r/min不变;在7~13s时大齿轮转速从800r/min稳定减少至-800r/min;在13~14s时大齿轮转速保持-800r/min不变;在14~16s时大齿轮转速从-800r/min稳定增长至-400r/min;在16~18s时大齿轮转速从-400r/min稳定增长至0r/min,完成一个周期。
Amesim仿真结果:
对大齿轮不同参数下的两种摩擦功率损失仿真之后的结果如图5所示。

图 5 滑动摩擦与滚动摩擦功率损失对比图
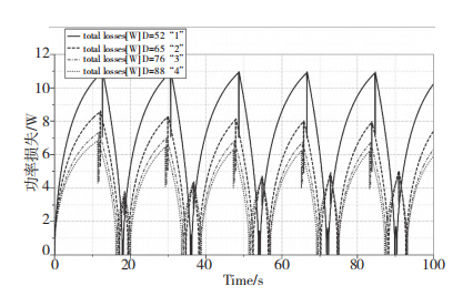
由图5可知,当两齿轮啮合时,大齿轮所产生的滑动摩擦功率损失要远大于滚动摩擦功率损失,所以在齿轮设计时,要多考虑齿面滑动摩擦对功率损失的影响。图6为大齿轮其他参数相同但不同齿数下的功率损失情况,在四组仿真中,齿数为52时功率损失最多,随着斜齿轮齿数逐渐增加,功率损失逐渐减少。

图 6 不同齿数下的仿真结果
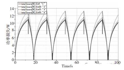
图7为大齿轮其他参数相同但不同螺旋升角下的功率损失情况,螺旋升角越小,功率损失就越小。在四组仿真中,当螺旋升角为5°时,功率损失最小。

图 7 不同螺旋升角下的仿真结果

结 论
通过Amesim软件的实际仿真可以得到以下结论:
1)当一对斜齿轮啮合时,其滑动摩擦的功率损失要远大于二者滚动摩擦的功率损失;
2)当大齿轮的齿数逐渐增大而其他参数不变时,齿轮的齿数越大,总功率损失会越来越小;
3)当大齿轮的螺旋升角逐渐增大而其他参数不变时,斜齿轮的螺旋升角越大,总功率损失会越大。
参考文献:略。
作者简介:王衍琛(1997-),男,硕士研究生,研究方向为微型汽车传动系统优化设计。
文章来源于齿轮传动公众号,版权归原作者和原出处所有;所发内容仅作分享之用,不代表本平台立场;如需删除请联系我们。